《精品解析:北京市石景山区2025-2026学年上学期九年级期末数学试题(解析版)》是针对北京市石景山区2025至2026学年第一学期九年级数学期末检测的专业备考资料,聚焦该地区九年级上学期数学学科的期末考查方向与要求,为使用者提供贴合本地教学实际的参考内容。
该资料通过对期末试题的详细解析,帮助使用者明确考试重点与自身知识薄弱环节,可用于日常学习中的学情诊断,辅助制定针对性的备考规划,同时也能作为阶段检测后的复盘工具,提升复习效率与方向感。
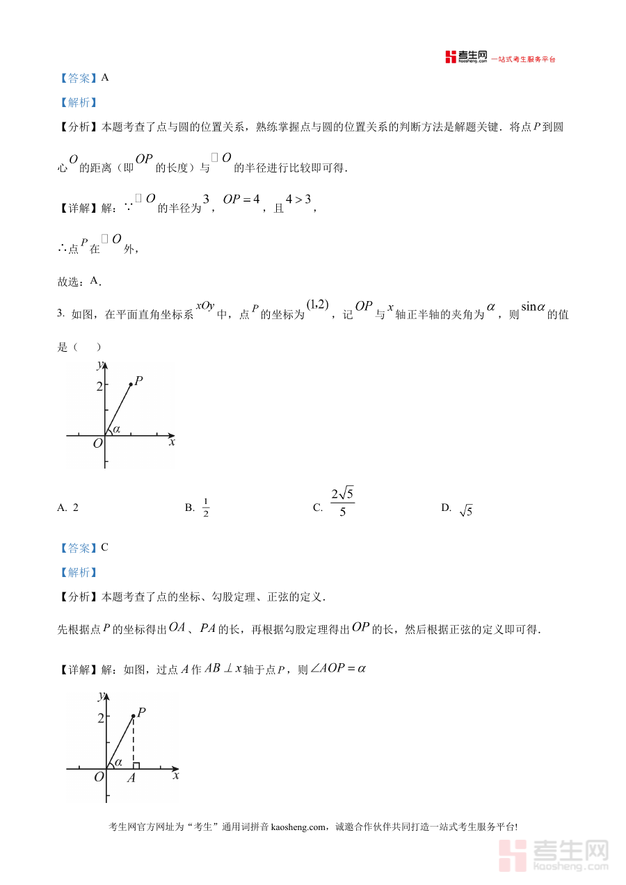
本资料适用于北京市石景山区九年级学生进行期末考前复习与自我检测,也可供数学教师参考以优化教学策略或设计复习方案,其解析内容能有效支持使用者进行阶段性学习效果评估与备考规划调整,助力提升期末数学成绩。
