《精品解析:北京市十一学校龙樾实验中学2025-2026学年九年级上学期月考数学试卷(9月份)(解析版)》是针对北京市十一学校龙樾实验中学2025-2026学年九年级上学期9月份数学月考的专业备考资料,聚焦该阶段数学学科的阶段性考查需求,为师生提供与本校教学进度匹配的检测参考依据。
该资料作为解析版试卷,能够帮助使用者精准把握月考考查方向与本校命题特点,通过对试卷内容的系统解析,助力师生进行学情诊断,明确学习中的优势与不足,同时为后续的教学调整和备考规划提供数据支持与方向指引。
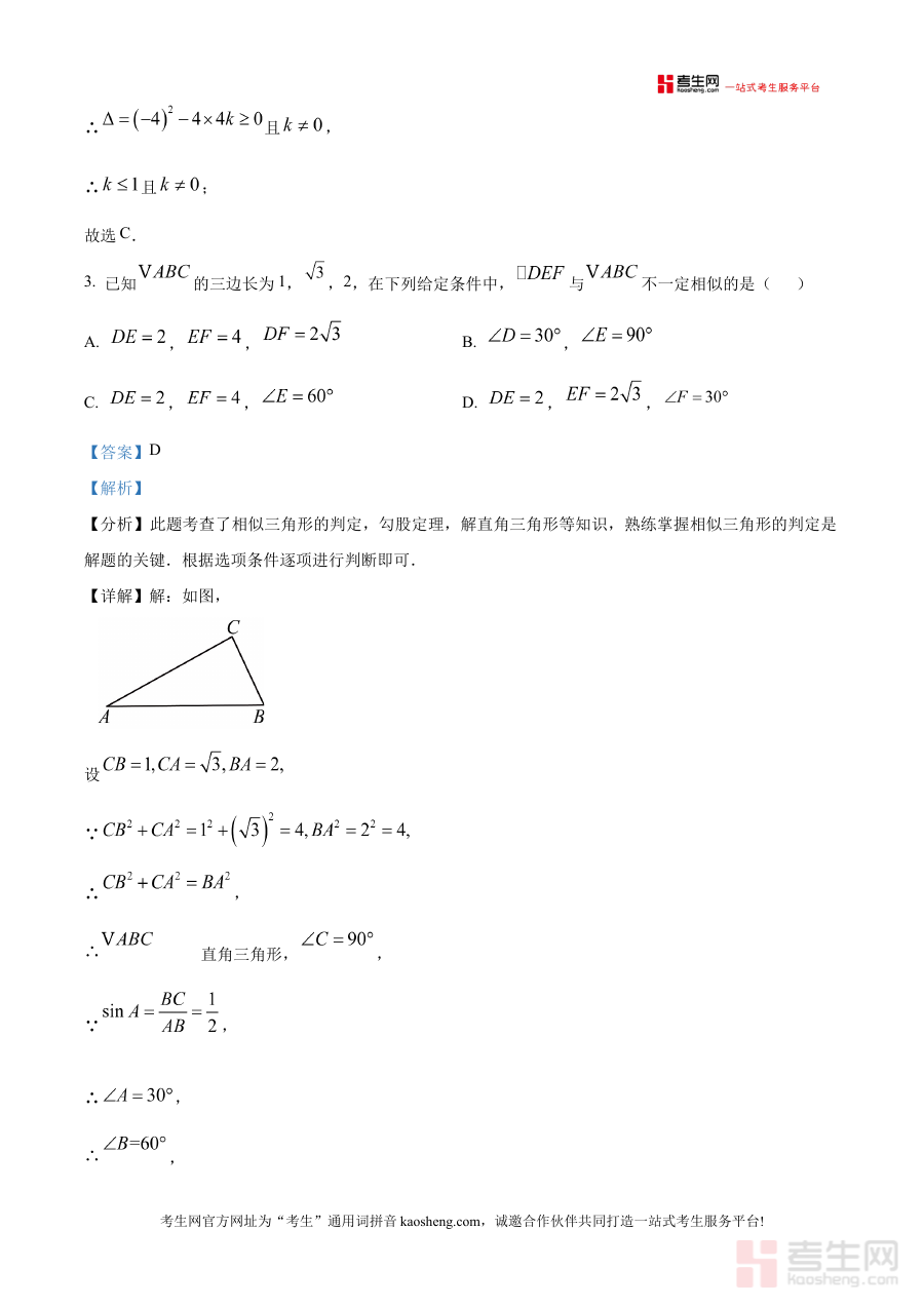
本资料适用于北京市十一学校龙樾实验中学九年级学生进行月考复习与自我检测,也可供数学教师用于教学评估与备课参考,其解析内容有助于提升使用者对阶段知识的理解深度,强化应试能力,为后续期中、期末等重要考试的备考奠定基础。
