《精品解析:浙江省宁波市宁波中学2025年九年级数学大讲堂测试卷(原卷版)》是针对2025年浙江省宁波市宁波中学九年级学生的数学学科测试资料,属于校内大讲堂活动配套的原卷版练习载体。该资料紧密结合该校九年级数学教学进度与要求,能够为学生提供贴合校内测试场景的练习机会,帮助学生提前熟悉本校测试的形式、结构与命题风格,为后续的学习与备考做好准备。
该资料可用于学生开展阶段性学情诊断,通过完成测试卷了解自身对数学知识的掌握程度与应用能力;同时也能为教师提供教学反馈依据,助力教师调整教学策略与备考规划,确保教学内容与学生实际需求相匹配;此外还可作为家长了解孩子在校学习情况的参考材料,辅助家长与学校共同制定科学的学习计划。
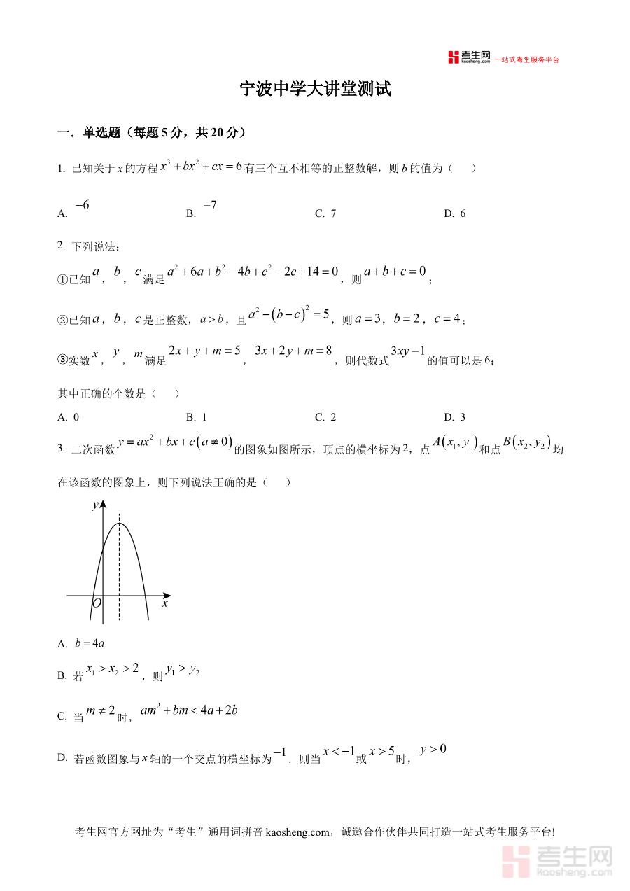
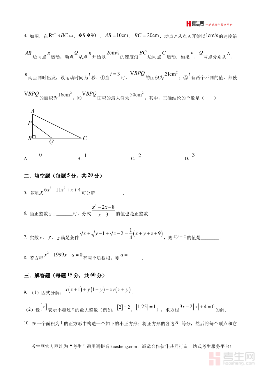
该测试卷的适用人群主要为浙江省宁波市宁波中学2025届九年级学生,同时也适用于需要了解该校数学教学重点与测试方向的教师及家长群体。作为原卷版资料,其价值在于真实呈现校内大讲堂测试的命题思路与考察方向,帮助学生进行高效的阶段检测与备考规划,提升备考的针对性与有效性,为中考前的系统复习奠定良好基础。
