《精品解析:浙江省宁波市鄞州实验中学2024-2025学年九年级上学期第四次模拟数学试卷(解析版)》是针对浙江省宁波市鄞州实验中学2024-2025学年九年级上学期阶段学习设置的数学模拟考试配套资料,属于该学年九年级上学期第四次模拟测试的解析版本,为对应考试的备考提供针对性支持。
该资料以解析形式呈现模拟考试内容,可帮助使用者掌握答题逻辑与解题方法,适用于学生自我诊断阶段学习效果、教师开展学情分析与教学调整,同时为后续备考规划提供方向指引,助力明确学习重点与提升路径。
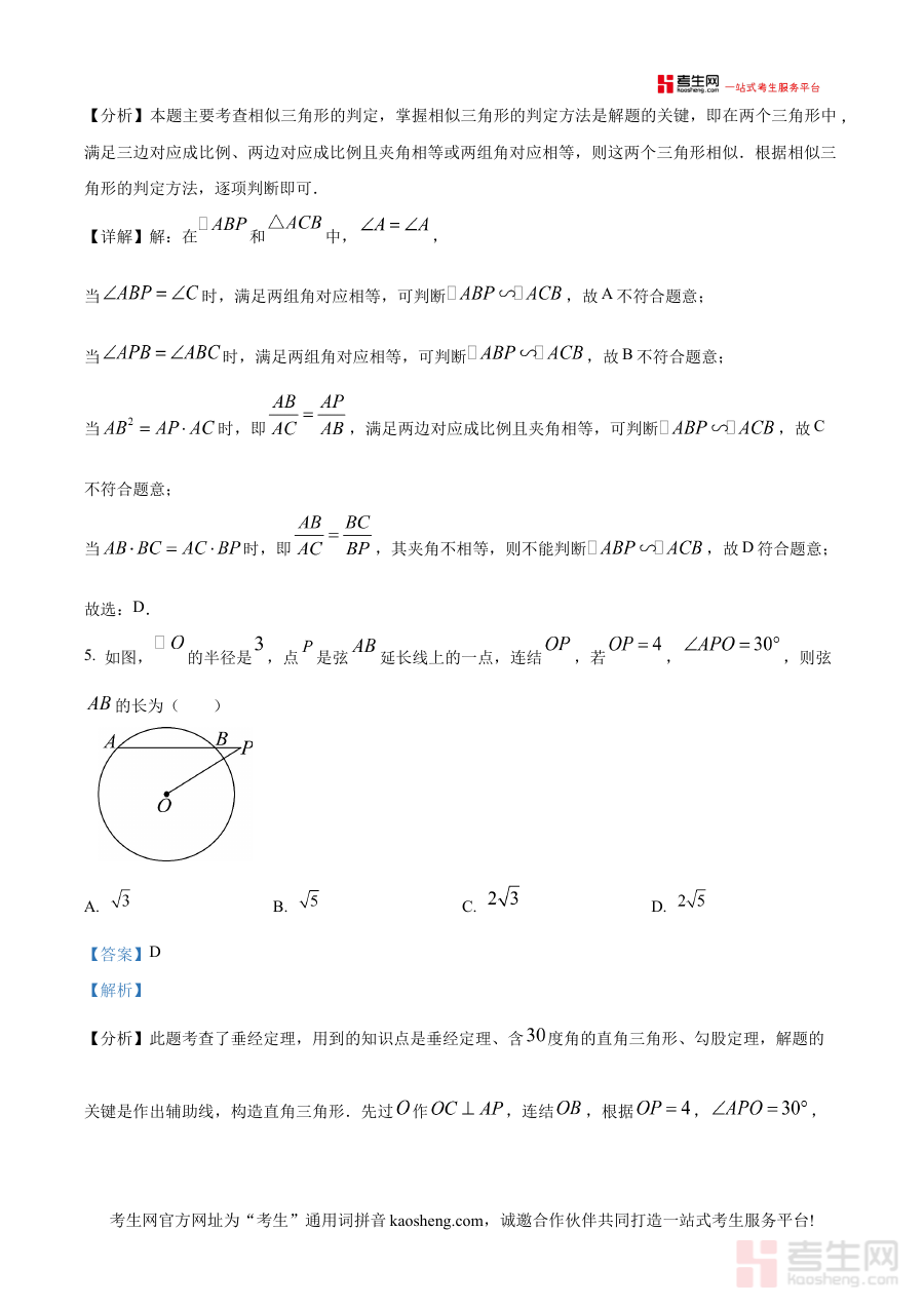
本资料主要面向浙江省宁波市鄞州实验中学2024-2025学年九年级学生及相关数学教师群体;对学生而言,能辅助巩固阶段知识、优化解题能力;对教师而言,可作为教学评估与指导的参考依据,有效支撑阶段检测与备考规划工作的实施。
