《精品解析:山东省日照市东港区宁波路学校2024-2025学年九年级上学期10月月考数学试卷(原卷版)》是针对2024-2025学年山东省日照市东港区宁波路学校九年级上学期10月月考的数学学科备考资料,聚焦该校九年级上学期初期的阶段性考试场景,为相关教学活动提供贴合本地学情的考试参考素材。
该资料可用于九年级学生开展阶段学习效果的自我评估,帮助教师掌握学生对前期数学知识的掌握程度,为后续教学内容调整与备考计划制定提供依据,同时也能让学生熟悉本校月考的考试流程与要求,提升对阶段性考试的适应能力。
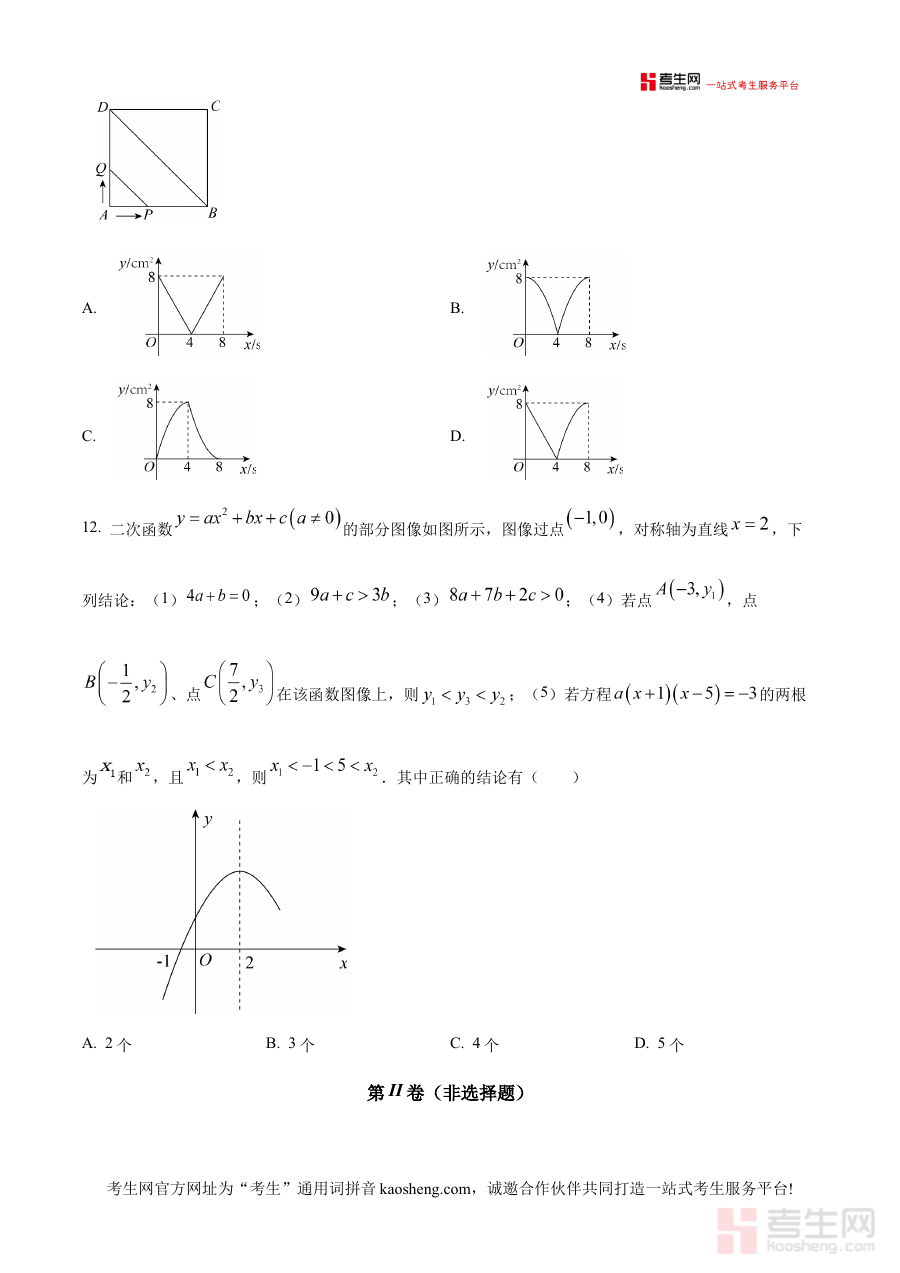
本资料主要适用于山东省日照市东港区宁波路学校的九年级数学教师及学生,教师可借助其进行阶段教学质量检测,学生则能通过原卷版试卷进行针对性练习,巩固已学知识,为后续期中、期末等重要考试的备考积累实践经验。
