《精品解析:河南省郑州陈中实验学校2024-2025学年九年级上学期第一次月考数学试题(原卷版)》是针对河南省郑州市陈中实验学校2024-2025学年九年级上学期第一次月考的数学学科备考资料,紧密贴合该校该阶段数学教学进度与考查方向,为师生提供与校考实际高度匹配的参考内容。
该资料可用于九年级学生进行数学学习的阶段性学情诊断,帮助教师精准把握学生学期初期的知识掌握状况,为后续教学策略调整与备考规划提供数据支撑,同时助力学生清晰认知自身学习短板,开展针对性复习提升。
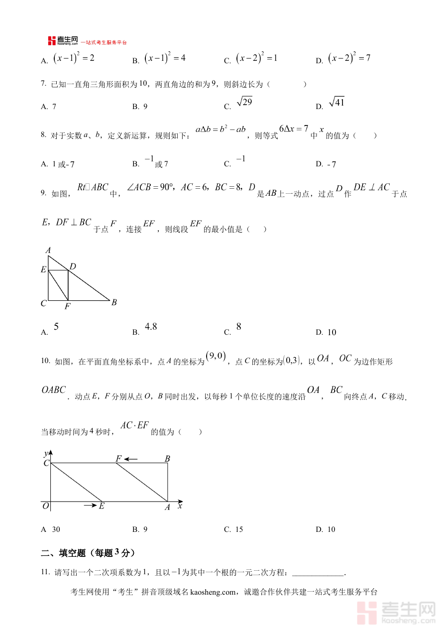
本资料适用于河南省郑州陈中实验学校九年级学生及数学教师,也可为其他同类学校的九年级学生提供阶段检测的参考范本,其原卷版的呈现形式能够有效还原考试场景,增强备考的针对性与实用性。
