《精品解析:北京市大兴区2024~2025学年七年级下学期期末数学试卷(原卷版)》是针对北京市大兴区2024至2025学年七年级下学期期末数学考试编制的备考资料。它精准对应该地区特定学年段的期末数学检测,为学生提供与本地考试体系匹配的练习载体,助力学生提前适应考试场景与要求。
该资料可用于学生进行阶段学习成果的自我诊断,帮助教师掌握学生对七年级下学期数学知识的掌握程度,为后续教学调整和学生备考规划提供数据支撑。同时,它能辅助师生明确期末复习的核心方向,优化复习策略以提升效率。
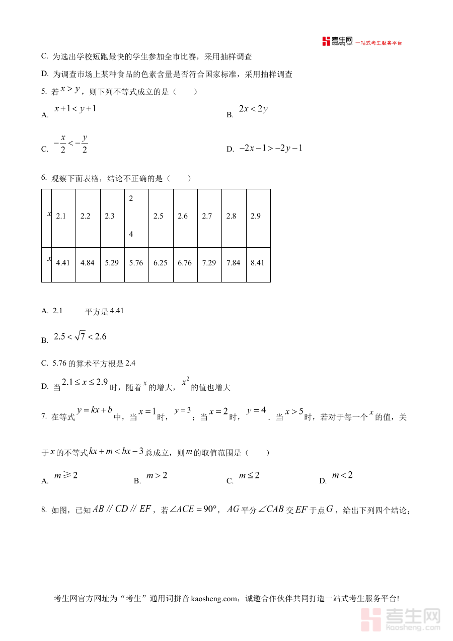
本资料适用于北京市大兴区七年级下学期的学生、数学教师及相关教育工作者,作为期末复习阶段的重要参考材料。它有助于学生熟悉本地期末数学考试的形式与规范,为教师开展针对性教学和学生制定个性化备考计划提供支持,有效提升期末数学学习效果与应试能力。
