《精品解析:安徽省A10联盟2026届高三上学期11月期中质量检测数学试题C(原卷版)》是一份聚焦安徽省A10联盟高三期中数学检测的高质量备考资料,完整收录了该次考试的原卷内容。试题分为第I卷(选择题共58分,含8道单选题、3道多选题)与第II卷(非选择题共92分,含3道填空题、5道解答题)两部分,知识点覆盖集合运算、函数定义域与最值、三角函数图像性质、导数应用等高中数学核心模块。其特色在于严格贴合联盟命题趋势与难度梯度,能精准反映该阶段学生需掌握的知识要点与能力要求。
该资料核心用途为辅助高三学生进行阶段性知识检测与漏洞排查,适用于课堂同步练习、课后自主刷题及教师备课参考等场景。通过完成原卷试题,学生可熟悉安徽省A10联盟考试题型分布与命题风格,提升应试能力中的时间管理与解题技巧;教师则能借助试题分析班级学生知识掌握情况,优化教学方案。其备考优势在于原卷的真实性与权威性,帮助使用者提前适应考试节奏,有效提升复习效率。
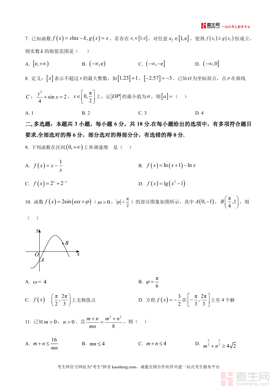
本资料适用于安徽省A10联盟及周边地区2026届高三学生、高中数学教师及备考指导人员。作为联盟官方期中检测的原卷版资料,它具有不可替代的参考价值,是高三一轮复习阶段巩固基础、强化能力的必要工具。长期来看,该试题可作为知识体系构建的重要素材,助力学生在后续复习中针对性提升薄弱环节,为高考备考奠定坚实基础。

